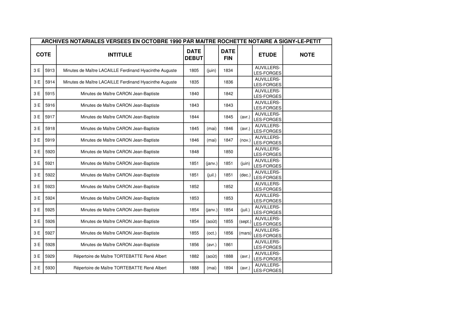
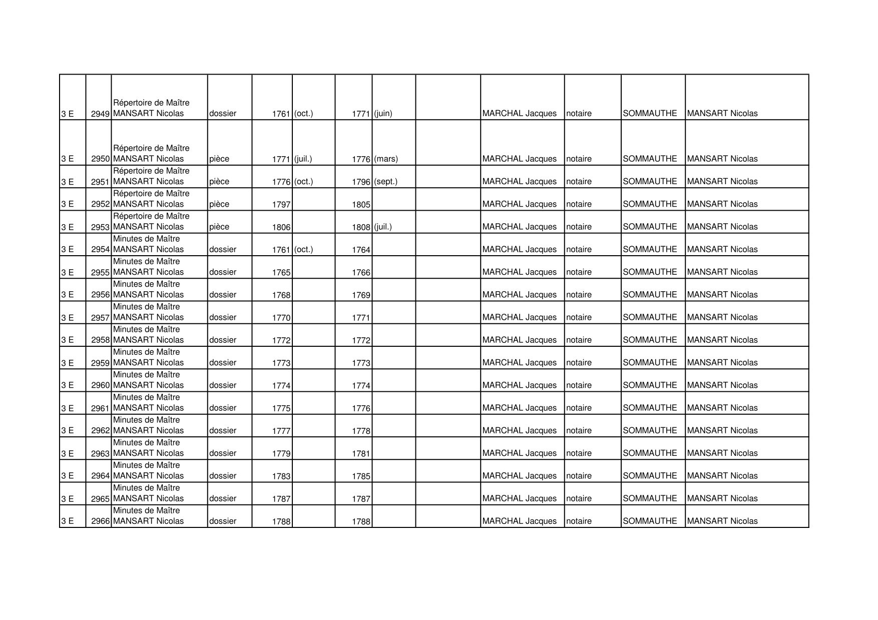
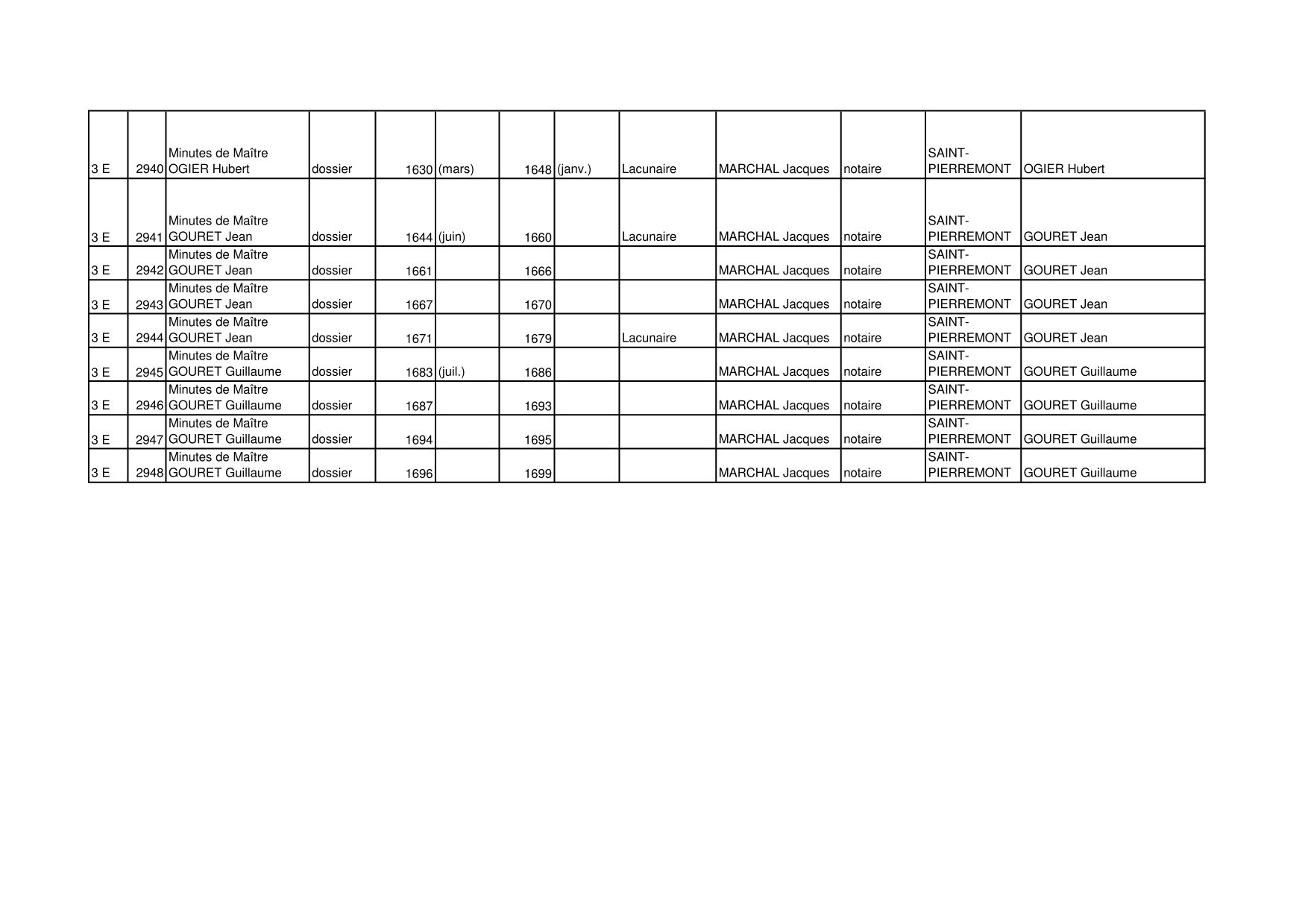
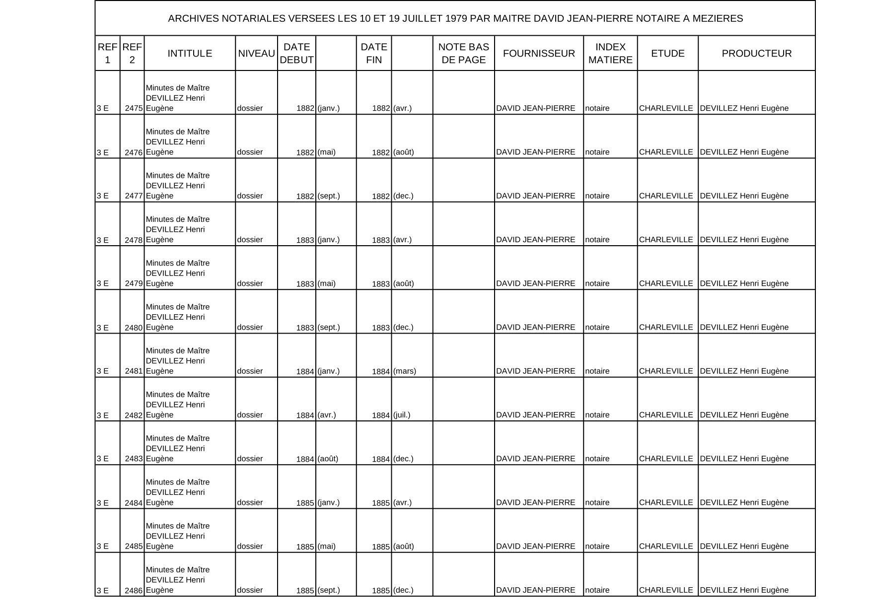
Archives départementales des Ardennes

Notaires

Partager la page